ქიმიის ტერმინთა განმარტებითი ლექსიკონი
- ინგლისურ-ქართული
- ქართულ-ინგლისური
- ლექსიკონის შესახებ
- გამოხმაურება

| magic angle (1) | ჯადოსნური კუთხე (1) |
| Analytical chemistry | ანალიზური ქიმია |
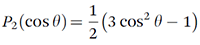
54.74°, the angle at which the Legendre polynomial
equals zero. Note: The name arises from solid-state nuclear magnetic resonance spectroscopy, in which rapidly spinning a sample about an axis at 54.74° to the magnetic field ‘magically’ converts into sharp lines the very broad bands that are due to coupling of the magnetic dipoles in the solid. |
54.74 °, კუთხე, რომლის დროსაც ლეჟანდრის პოლინომი ნულის ტოლია. შენიშვნა: სახელწოდება მომდინარეობს მყარი მდგომარეობის ბირთვულ-მაგნიტური რეზონანსული სპექტროსკოპიიდან, რომლის მიხედვით, მაგნიტური ველის მიმართ 54.74°-იანი კუთხით ღერძის გარშემო ნიმუშის სწრაფი ბრუნვა ძალიან ფართო ზოლებს „ჯადოსნურად“ გარდაქმნის მკვეთრ ხაზებად, რაც გამოწვეულია მყარ სხეულში მაგნიტური დიპოლების შეწყვილებით. |
| Source | წყარო: D. B. Hibbert, Compendium of terminology in analytical chemistry. Cambridge: Royal Society Of Chemistry, 2019 |
|


ჩვენი სტუმარი
სწრაფი ბმულები





