ქიმიის ტერმინთა განმარტებითი ლექსიკონი
- ინგლისურ-ქართული
- ქართულ-ინგლისური
- ლექსიკონის შესახებ
- გამოხმაურება

| mean interstitial velocity of the carrier gas | აირმატარებლის საშუალო ჭეშმარიტი სიჩქარე |
| Analytical Chemisty | ანალიზური ქიმია |
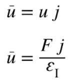
| The interstitial velocity, of the carrier gas multiplied by the pressure-gradient correction-factor, j:
where F is the nominal linear flow, åI is the interstitial fraction. |
აირმატარებლის ჭეშმარიტი სიჩქარის ნამრავლი წნევის გრადიენტის შესწორების კოეფიციენტზე, j:
სადაც F არის ნომინალური წრფივი ნაკადი, å I არის თავისუფალი მოცულობის ფარდობითი წილი. |
Source | წყარო:
|
|






