ქიმიის ტერმინთა განმარტებითი ლექსიკონი
- ინგლისურ-ქართული
- ქართულ-ინგლისური
- ლექსიკონის შესახებ
- გამოხმაურება

| liquid-crystal oligomer | თხევადკრისტალური ოლიგომერი |
| polymer chemistry | პოლიმერების ქიმია |
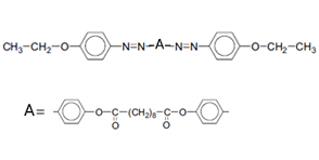
Mesogen constituted of molecules, each with more than one mesogenic group. Note 1: The mesogenic groups usually have identical structures. Note 2: A liquid-crystal dimer or mesogenic dimer is sometimes known as a twin mesogen. Use of the terms ‘dimesogenic compounds’ and ‘Siamese-twin mesogen’ for liquid-crystal dimer or mesogenic dimer is not recommended. Note 3: ExampIes of mesogenic dimers are: (a) fused twin mesogen, where the mesogenic groups are linked rigidly by a (usually fused) ring system, (b) ligated twin mesogen, in which the mesogenic groups are connected by a spacer at a central position, (c) taiI-to-tail twin mesogen, which has a flexible spacer linking the two groups and (d) side-to-tail twin mesogen. The structures of these different types of liquid-crystal dimers are illustrated with the mesogenic groups represented by A specific example of type (c), a tail-to-tail liquid-crystal dimer, is wherein –(CH2)8– is the flexible spacer linking the two mesogenic groups. Note 4: A liquid-crystal dimer with different mesogenic groups linked by a spacer is known as an asymmetric liquid-crystal dimer. Note 5: A liquid-crystal dimer with flexible hydrocarbon chains having an odd number of carbon atoms is called an odd-membered liquid-crystal dimer, whilst one with hydrocarbon chains having an even number of carbon atoms is called an even-membered liquid-crystal dimer. |
მეზოგენი, რომელიც შედგება მოლეკულებისგან, რომელთაგან თითოეულს ერთზე მეტი მეზოგენური ჯგუფი აქვს. შენიშვნა 1: როგორც წესი, მეზოგენურ ჯგუფებს აქვთ იდენტური სტრუქტურები. შენიშვნა 2: თხევადკრისტალური დიმერი ან მეზოგენური დიმერი ზოგჯერ ცნობილია, როგორც ტყუპი მეზოგენი. თხევადკრისტალური დიმერის ან მეზოგენური დიმერისთვის ტერმინების „დიმეზოგენური ნაერთები“ და „სიამის ტყუპი მეზოგენი“ გამოყენება არ არის რეკომენდებული. შენიშვნა 3: მეზოგენური დიმერების მაგალითებია: (ა) კონდენსირებული ტყუპი მეზოგენი, სადაც მეზოგენური ჯგუფები ხისტად არის დაკავშირებული (ჩვეულებრივ კონდენსირებული) ციკლური სისტემით, (ბ) ლიგირებული ტყუპი მეზოგენი, რომელშიც მეზოგენური ჯგუფები დაკავშირებულია სპეისერით ცენტრალურ პოზიციასთან, (გ) კუდი-კუდთან ტყუპი მეზოგენი, რომელსაც აქვს მოქნილი სპეისერები, რომლებიც აკავშირებს ორ ჯგუფს და (დ) გვერდი-კუდთან ტყუპი მეზოგენი. ამ სხვადასხვა ტიპის თხევადკრისტალური დიმერების სტრუქტურები ილუსტრირებულია მეზოგენური ჯგუფებით, რომლებიც წარმოდგენილია (c) ტიპის კონკრეტული მაგალითი, კუდი-კუდთან თხევადკრისტალური დიმერი, არის სადაც –(CH2)8– არის მოქნილი სპეისერი, რომელიც აკავშირებს ორ მეზოგენურ ჯგუფს. შენიშვნა 4: თხევადკრისტალური დიმერი, რომელსაც აქვს სხვადასხვა მეზოგენური ჯგუფები, რომლებიც დაკავშირებულია სპეისერით, ცნობილია როგორც ასიმეტრიული თხევადკრისტალური დიმერი. შენიშვნა 5: თხევადკრისტალურ დიმერს, რომელსაც აქვს კენტი რაოდენობის ნახშირბადის ატომების შემცველი მოქნილი ნახშირწყალბადური ჯაჭვები, ეწოდება კენტ წევრიანი თხევადკრისტალური დიმერი, ხოლო ლუწი რაოდენობის ნახშირბადის ატომების შემცველ ნახშირწყალბადური ჯაჭვების მქონე დიმერს - ლუწი წევრიანი თხევადკრისტალური დიმერი. |
| Source | წყარო: R. G. Jones and Union, Compendium of polymer terminology and nomenclature : IUPAC recommendations 2008. Cambridge: Royal Society Of Chemistry, 2009. |
|




.


