ქიმიის ტერმინთა განმარტებითი ლექსიკონი
- ინგლისურ-ქართული
- ქართულ-ინგლისური
- ლექსიკონის შესახებ
- გამოხმაურება

| board-shaped polymer | დაფის ფორმის პოლიმერი |
| polymer chemistry | პოლიმერების ქიმია |
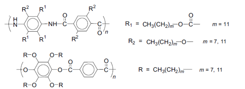
Polymer chain composed of a rigid backbone to which many lateral side-groups are attached, giving the repeating unit a board-like shape. Note 1: The rigid backbone often has a polyester, polyamide or poly(ester-amide) type of structure. Examples are: Note 2: A polymer LC consisting of macromolecules of board-like shape can be called a board-shaped polymer LC. Such polymers can form sanidic mesophases. |
პოლიმერული ჯაჭვი, რომელიც შედგება ხისტი მთავარი ჯაჭვისგან, რომელზეც დაკავშირებულია მრავალი გვერდითი ჯგუფი, რაც განმეორებად ერთეულს დაფის მსგავს ფორმას აძლევს. შენიშვნა 1: ხისტ ხერხემალს ხშირად აქვს პოლიესტერის, პოლიამიდის ან პოლი(ესტერამიდის) ტიპის სტრუქტურა. მაგალითებია: შენიშვნა 2: დაფის ფორმის მაკრომოლეკულებისგან შემდგარ პოლიმერულ თხევადკრისტალს შეიძლება ეწოდოს დაფის ფორმის პოლიმერული თხევადკრისტალი. ასეთ პოლიმერებს შეუძლიათ სანიდური მეზოფაზების წარმოქმნა. |
| Source | წყარო: R. G. Jones and Union, Compendium of polymer terminology and nomenclature : IUPAC recommendations 2008. Cambridge: Royal Society Of Chemistry, 2009. |
|






