ქიმიის ტერმინთა განმარტებითი ლექსიკონი
- ინგლისურ-ქართული
- ქართულ-ინგლისური
- ლექსიკონის შესახებ
- გამოხმაურება

| Hilbert transforms of a spectrum | სპექტრის ჰილბერტის გარდაქმნები |
| Analytical chemistry | ანალიზური ქიმია |
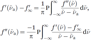
Functions that interrelate the real part, f′, and imaginary part, f″, of the refractive index,
or relative permittivity, through where P means that the principal part of the integral is taken at the singularity. |
ფუნქციები, რომელიც აკავშირებს გარდატეხის მაჩვენებლის
და ფარდობითი დიელექტრიკული შეღწევადობის რეალურ f′, და წარმოსახვითი f″, ნაწილს განტოლებით სადაც P ნიშნავს, რომ ინტეგრალის მთავარი ნაწილი აღებულია სინგულარობის დროს. |
| Source | წყარო: D. B. Hibbert, Compendium of terminology in analytical chemistry. Cambridge: Royal Society Of Chemistry, 2019 |
|


ჩვენი სტუმრები
სწრაფი ბმულები







