ქიმიის ტერმინთა განმარტებითი ლექსიკონი
- ინგლისურ-ქართული
- ქართულ-ინგლისური
- ლექსიკონის შესახებ
- გამოხმაურება

| calamitic mesogen | კალამიტური მეზოგენი |
| polymer chemistry | პოლიმერების ქიმია |
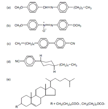
Mesogen composed of rod-like or lath-like molecules. Note: Examples are:
|
მეზოგენი, რომელიც შედგება ღეროსებრი ან ძელისებრი მოლეკულებისგან. შენიშვნა: მაგალითებია:
|
| Source | წყარო: R. G. Jones and Union, Compendium of polymer terminology and nomenclature : IUPAC recommendations 2008. Cambridge: Royal Society Of Chemistry, 2009. |
|


ჩვენი სტუმრები
სწრაფი ბმულები





