ქიმიის ტერმინთა განმარტებითი ლექსიკონი
- ინგლისურ-ქართული
- ქართულ-ინგლისური
- ლექსიკონის შესახებ
- გამოხმაურება

| shear viscosity | ძვრის სიბლანტე |
| For a Newtonian fluid, the shear viscosity is often termed simply viscosity since in most situations it is the only one considered. It relates the shear components of stress and those of rate of strain at a point in the fluid by:
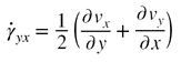
, the shear component of rate of strain is defined as follows:
|
ნიუტონის სითხისთვის, ძვრის სიბლანტეს ხშირად უწოდებენ უბრალოდ სიბლანტეს, რადგან უმეტეს სიტუაციებში მხოლოდ იგი განიხილება. იგი აკავშირებს დაძაბულობისა და დეფორმაციის სიჩქარის ძვრის კომპონენტებს სითხის წერტილში:
, დეფორმაციის სიჩქარის ძვრის კომპონენტი განისაზღვრება როგორც:
|
| Source | წყარო: PAC, 1979, 51, 1213 (Manual of symbols and terminology for physicochemical quantities and units. Appendix II: Definitions, terminology and symbols in colloid and surface chemistry. Part 1.13. Selected definitions, terminology and symbols for rheological properties) on page 1216 |
|





, the shear component of rate of strain is defined as follows:



