ქიმიის ტერმინთა განმარტებითი ლექსიკონი
- ინგლისურ-ქართული
- ქართულ-ინგლისური
- ლექსიკონის შესახებ
- გამოხმაურება

| ribonucleotides | რიბონუკლეოტიდები |
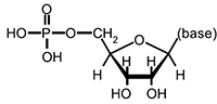
| Nucleotides in which the glycosyl group is a ribosyl group.
|
ნუკლეოტიდები, რომლებშიც გლიკოზილის ჯგუფს რიბოზის ჯგუფი წარმოადგენს.
|
Source | წყარო:
|
|







