"ქიმიის უწყებანი" ტომი:4, ნომერი:2, 7-10 გვ.
მწვანე ქიმია
საქართველოს აგრარული უნივერსიტეტი
რეზიუმე: მწვანე ქიმია არის ახალი მიდგომა მეცნიერებაში, რომელიც ფოკუსირებულია უსაფრთხო, ნაკლებად ტოქსიკური ქიმიური ნივთიერებების წარმოებაზე, რომლებიც უვნებელია ადამიანის ჯანმრთელობისა და გარემოსათვის, რომელთა გადამუშავება ან ელიმინაცია იქნება შესაძლებელი. მწვანე ქიმიის მიზანია ნარჩენების გამოყოფის შემცირება მაქსიმალურად და ენერგო-ეფექტურობის მიღწევა. მწვანე ქიმია სწორედ ამ პირობებში მოითხოვს ეკონომიკურ განვითარებას. სტატიაში განხილულია მწვანე ქიმიის პრინციპები და ძირითადი დებულებები, დადებითი და უარყოფითი მხარეები
საკვანძო სიტყვები: მწვანე ქიმია, გარემო, უტილიზაცია, ნარჩენები, დაბინძურება.
თანამედროვე ეპოქაში ეკონომიკურ-დემოგრაფიულმა და ეკოლოგიურმა პრობლემებმა, აგრეთვე, საომარი მოქმედებების წარმოებამ, ადამიანები დიდი გამოწვევების წინაშე დააყენა. ყოველწლიურად შიმშილით იღუპება უამრავი ადამიანი. ამასთანავე, უდიდესი ნაწილი იკვებება არასრულფასოვნად, თანაც გენმოდიფიცირებული საკვებით, სუნთქავს დაბინძურებული ჰაერით და სასმელად იღებს უვარგის წყალს. ეს ყველაფერი შემდგომში უარყოფითად აისახება ადამიანის ჯანმრთელობაზე. მოგეხსენებათ, რომ ატმოსფეროში ნახშირორჟანგის გამოყოფამ საკმაოდ მაღალ მაჩვენებელს მიაღწია, სათბურის ეფექტი სულ უფრო და უფრო ძლიერდება, რაც შედეგად იწვევს წყალდიდობებს, ღვარცოფებს, ქარიშხლებს და სხვადასხვა სტიქიურ უბედურებას. ამასთანავე, ოზონის ფენის ირღვევა, რადგან ტექნიკაში გამოიყენება ისეთი ნივთიერებები, რომლებიც შლის ოზონს, შედეგად დედამიწაზე მატულობს ულტრაიისფერი გამოსხივების ინტენსივობა, რასაც მოსდევს ონკოლოგიური დაავადებების წარმოშობა. მჟავა წვიმები, სმოგი, ეს და სხვა ეკოლოგიური პრობლემები გამოწვეულია ადამიანის საქმიანობით, ე.წ „ანთროპოგენური“ მოქმედებით, რასაც სავალალო შედეგებამდე მივყავართ [1-6].
დღეს კაცობრიობა იმ დონეზეა მისული, საჭიროა, რომ დაიწყოს ფიქრი მწვანე ქიმიის კონცეფციის შესახებ - თუ რამდენად მნიშვნელოვანია მწვანე ქიმიის როლი ადამიანის სამომავლო არსებობისათვის, მომავალი თაობებისათვის, რომ მათ შემოვუნახოთ ისეთი პლანეტა, სადაც შესაძლებელი იქნება ჯანსაღად ცხოვრება. მწვანე ქიმიის მიზანია, ისეთი ქიმიური ნივთიერებების გამოყენება, რომლებიც საფრთხეს არ შეუქმნის ადამიანსა და გარემოს, რომელშიც, სწორედ ამ პირობებში, იქნება შესაძლებელი ეკონომიკური განვითარება და სტაბილურობა. მწვანე ქიმიის მიზანია, აგრეთვე, ბუნებრივი რესურსების გონივრულად გამოყენება, რათა ადამიანის ზეგავლენა გარემოზე შემცირდეს.
გარემოს ქიმია, როგორც მოგეხსენებათ, შეისწავლის ქიმიური დამაბინძურებლების მოქმედებას ბუნებაზე, იმ დროს, როდესაც მწვანე ქიმია ფოკუსირებულია ქიმიის გარემოზე მოქმედებაზე, მათ შორის, არაგანახლებადი რესურსების მოხმარების შემცირებაზე; ის შეისწავლის დაბინძურების თავიდან აცილების ტექნოლოგიურ მიდგომებს. ტერმინი მწვანე ქიმია გაჩნდა მეოცე საუკუნის 90-იან წლებში. იდეის ფუძემდებლები არიან პოლ ანასტასი და ჯონ ვორნერი, რომლებმაც ჩამოაყალიბეს მწვანე ქიმიის საკვანძო პრინციპები:
- ნარჩენებისაგან თავის არიდება;
- ატომური ეკონომიკის მაქსიმიზაცია;
- ნაკლებად საშიში ნივთიერებების სინთეზი;
- უსაფრთხო ნაერთები და პროდუქტები;
- უსაფრთხო გამხსნელები და რეაქციის პირობები;
- ენერგიის ეფექტურობის გაზრდა;
- განახლებადი ნედლეულის გამოყენება;
- დამცავი ნაერთებისაგან თავის არიდება;
- კატალიზატორების გამოყენება;
- გამოყენების შემდეგ დეგრადირებადი რეაგენტებისა და პროდუქტების დიზაინი;
- პოტენციური ავარიების მინიმიზაცია;
- რეალურ დროში ანალიზი დაბინძურებისაგან თავის არიდების მიზნით.
მწვანე ქიმიის პირველ პრინციპს წარმოადგენს ნარჩენების წარმოქმნისაგან თავის არიდება. ყოველწლიურად ამერიკაში 14 მილიარდი ტონა მავნე ნარჩენი წარმოიქმნება. ნარჩენების დიდი ნაწილი გამოიყოფა ჰალოგენირების, ალკინირების ჟანგვის, სულფონირების, ნიტრირების რეაქციების დროს, რომლებიც გამოიყენება სხვადასხვა ინდუსტრიულ პროცესში. რასაკვირველია, ქიმიური რეაქციების განხორციელება შეუძლებელია ნარჩენი პროდუქტების წარმოქმნის გარეშე, თუმცა, აუცილებელია, ვიფიქროთ იმაზეც, თუ როგორ არის შესაძლებელი დაბინძურების თავიდან აცილება; აგრეთვე, ხომ არ არის შესაძლებელი ისეთი მეთოდის შექმნა, რომლითაც შესაძლებელი გახდება ნარჩენი პროდუქტების უტილიზაცია. ასეთ მიდგომას უკვე მოჰყვა დადებითი შედეგები, კერძოდ, ლაქებისა და საღებავების მწარმოებელი კომპანიები ამზადებენ გამხსნელისაგან თავისუფალ ლაქებსა და საღებავებს, აღარ გამოიყენება აზბესტი. ფარმაცევტული კომპანიების მიზანი გახდა პრეპარატების წარმოება იმგვარად, რომ გამხსნელის კონცენტრაცია შემცირდეს. შემუშავებულ იქნა ისეთი მეთოდი, სადაც ქიმიურ რეაქციაში ტოლუოლის, ტეტრაჰიდროფურანის და სხვა გამხსნელების ნაცვლად გამოიყენება ეკოლოგიურად უსაფრთხო ეთილის სპირტი.
ზოლოფტის (სერტრალინი) სინთეზი, ის სეროტონინის სელექტიური უკუმიტაცების ინჰიბიტორია (სქემა 1).
სქემა 1. სერტრალინის სინთეზის მეთოდები
ატომური ეკონომია მწვანე ქიმიის მეორე პრინციპია, რომელიც გულისხმობს ისეთი მეთოდის შემუშავებას, სადაც ქიმიური რეაქციის შედეგად მიღებული ნარჩენების უტილიზაცია მოხდება. დღეისათვის იბუპროფენის სინთეზი პროგრესირებადია, ძველი სინთეზის მთავარი ნაკლი გახლდათ დაბალი ეკონომიკური ღირებულება, ხოლო „მწვანე მეთოდმა“, რომელიც შემუშავებულ იქნა 1990 წელს, შესაძლებლობა მოგვცა, გარდამავალი ნივთიერებების პროდუქტში გარდაქმნისა, ან მათი რეგენერირებისა, რაც ამცირებდა ნარჩენების გამოყოფას 99%-მდე.
აღნიშნულ მეთოდს გააჩნია საკმაოდ მაღალი ეფექტურობა , რადგან წარმოქმნილი ნარჩენები გადამუშავდება წარმოების პროცესშივე. ზოგადად, ატომური ეკონომიურობა განისაზღვრება, როგორც სასურველი ნივთიერების ფარდობითი მოლეკულური მასის შეფარდებით მორეაგირე ნივთიერებების ფარდობით მოლეკულურ მასათა ჯამთან, გამოსახული პროცენტით.

სქემა 2-ზე მოცემულია იბუფროფენის სინთეზის ორი მეთოდი.

სქემა 2. იბუპროფენის სინთეზის მეთოდები
პირველი მეთოდია ბუთსის სინთეზი, რომელშიც გამოსავლიანობა 40%-ია და პროცესი შედგება ექვსი ეტაპისაგან. მეორე მეთოდი გახლავთ ჰოქსთის მეთოდი (Hoechst method), რომელიც სამი ეტაპისაგან შედგება და, ამ შემთხვევაში, გამოსავლიანობა 77%-ია. გამოსავლიანობა შეიძლება გაიზარდოს 99%-მდე , თუ მოხდება პირველ ეტაპზე მიღებული ძმარმჟავას ექსტრაქცია და მისი ხელახლა გამოყენება.
ნაკლებად მავნებელი ქიმიური ნივთიერებების სინთეზი.
ამ პრინციპის არსი შემდეგია: მიღებულ უნდა იქნას ისეთი ნივთიერებები, რომლებიც მცირედ ან საერთოდ არ ახდენს გავლენას ადამიანის ჯანმრთელობასა და გარემოზე.
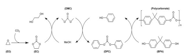
მაგალითად, ასახი კასეის (იაპონური კომპანია) პოლიკარბონატი (სქემა 3).

სქემა 3. ასახი კასეის პოლიკარბონატის სინთეზი
ზოგადად, პოლიკარბონატების სინთეზი მიმდინარეობს, მომწამლავი ნივთიერების, ფოსგენის თანხლებით, ამ მეთოდის უპირატესობა კი ის არის, რომ ფოსგენს არ იყენებენ და ამოვდროულად, ხდება ნახშირორჟანგის უტილიზაცია რეაქციის დროს.
პირველ საფეხურზე ადგილი აქვს, ნახშირორჟანგის ურთიერთქმედებას ეთილენის ოქსიდთან, რის შედეგადაც მიიღება ეთილენკარბონატი, რომელიც ურთიერთქმედებს სპირთტან და შედეგად მიიღება დიოლური ნაერთი და დიმეთილკარბონატი, რომელსაც გარდაქმნიან დიფენილკარბონატში, ფენოლთან ურთიერთქმედების გზით, რადგან დიმეთილკარბონატი არ გამოდგება პოლიმერიზაციის პროცესში, მაღალ მოლეკულური პოლიმერის მისაღებად, ხოლო დიფენილკარბონატისა და ბისფენოლ A-ს პოლიმერიზაციით ვღებულობთ პოლიკარბონატს.
უსაფრთხო ქიმიური ნივთიერების სინთეზი.
ამ პრინციპის ქვეშ იგულისხმება ისეთი ნივთიერებების მიღება, რომელიც შეინარჩუნებს თავის ეფექტურობას და, ამასთან, ნაკლებად ტოქსიკური იქნება. ეს პრინციპი გამოიყენება სხვადასხვა პესტიციდისა თუ ინსექტიციდის წარმოებაში, რომელიც ტოქსიკურია მხოლოდ კონკრეტული ორგანიზმის მიმართ. მაგალითად,კალა-ორგანული ნაერთების გამოყენება ხდება გემების საღებავების წარმოებაში, რომლებიც საკმაო ტოქსიკურობით გამოირჩევა და მისი შთანთქმა ხდება წყალმცენარეებისა და პლანქტონების მიერ, აღნიშნული ნივთიერება ჩანაცვლებულ იქნა 4,5-დიქლორო-2-ოქტილ-3-იზოთიაზოლინით (Sea nine, DCOI) (სურათი 4), ის დეგრადირებადი და, ამავდროულად, არატოქსიკურია.

სურათი 4. 4,5-დიქლორო-2-ოქტილ-3-იზოთიაზოლინის სტრუქტურა
ენერგოეფექტურობა და უსაფრთხო გამხსნელები.
ენერგო ეფექტურობის ტერმინის ქვეშ იგულისხმება ქიმიური რეაქციების განხორციელება გარემოს ტემპერატურასა და წნევაზე, რის შედეგადაც დავზოგავთ ენერგიას. აგრეთვე, ავტომობილის და სხვადასხვა ტრანსპორტის მიერ საწვავის მოხმარების შემცირება, რაც, ერთი მხრივ, აისახება ენერგიის დაზოგვაში და, მეორე მხრივ, გარემოში ნახშირორჟანგის გამოყოფა შემცირდება.
რაც შეეხება გამხსნელებს, მათი უდიდესი ნაწილი გამოიყენებოდა რეაქციის განხორციელებისათვის და ქრომატოგრაფიულ პროცესებში; ეს ნივთიერებებია: ბენზოლი, ტოლუოლი, ჰექსანი, ქლოროფორმი, აცეტონიტრილი და ა.შ. ისინი საკმაოდ საზიანოა. უსაფრთხო გამხსნელების პრინციპის თანახმად, უნდა შევამციროთ მათი მოხმარება და გამოყენებული გამხსნელები გადავამუშავოთ. ამასთან, უნდა მოვიძიოთ ახალი, უსაფრთხო გამხსნელები, რომლებიც იქნება არააქროლადი და სტაბილური.
ქიმიური ნაწარმების მიღების შემცირება.
არასაჭირო დერივატიზაცია (დამბლოკავი ჯგუფის გამოყენება, ფიზიკურ-ქიმიური გარდაქმნები) მაქსიმალურად უნდა შემცირდეს, რადგან ეს პროცესები მოითხოვს დამატებითი ნივთიერებების გამოყენებას, რამაც, შესაძლოა, გამოიწვიოს ზედმეტი ნარჩენის წარმოქმნა.
პენიცილინის ამიდით კატალიზირებული 6-ამინოპენიცილინის მჟავას სინთეზის (6-APA) სქემა მოცემულია ქვემოთ (სქემა 5).

სქემა 5. პენიცილინის სინთეზის ბიოლოგიური გზა.
ეს რეაქცია მიმდინარეობს ფერმენტების საშუალებით, მრავალსაფეხურიანი სინთეზის ნაცვლად. ამავდროულად, არ მოითხოვს ანტიბიოტიკის მისაღებად დაბალ ტემპერატურასა და ორგანული გამხსნელების გამოყენებას.
ხოლო რაც შეეხება შემდეგ ქიმიურ მეთოდს (სქემა 6) გამოიყენება: პირიდინი, ტრიმეთილ სილიციუმქლორიდი, ფოსფორის პენტაქლორიდი, რომლებიც ძალზე ტოქსიკური ნივთიერებებია.

სქემა 6. პენიცილინის სინთეზის ქიმიური გზა
ბიოკატალიზატორების გამოყენება.
როგორც ცნობილია, კატალიზური რეაქციები მიმდინარეობს დიდი სიჩქარით. შეიძლება რეაქციის სიჩქარე მილიონჯერაც კი გაიზარდოს, რაც ძალიან მნიშვნელოვანია ქიმიური მრეწველობისათვის. თუმცა, უნდა ვთქვათ ისიც, რომ ასეთი ნივთიერებები, ხშირად არასტაბილური და სითბოს მიმართ მგრძნობიარეა. შედეგად ვიღებთ ნარჩენ პროდუქტს, რომლის გადამუშავებაც რთული ან საერთოდ შეუძლებელია. ამიტომ კარგი იქნება, თუ ქიმიურ კატალიზატორებს (არა-ბიოლოგიურ) ჩავანაცვლებთ ბიოკატალიზატორებით.
კლასიკურად, კატექინის სინთეზი, როგორც ვიცით, მრავალეტაპიანი პროცესია, რომლის საწყისი ნივთიერებაა ბენზოლი. სინთეზის პროცესში წარმოიქმნება ბევრი მავნე თანაპროდუქტი. კატექინის მიღება შეიძლება განხორციელდეს აგრეთვე D-გლუკოზისაგან გენეტიკურად მოდიფიცირებულ ეშერიხია კოლისთან ურთიერთქმედებით (სქემა 7), რეაქცია ერთსაფეხურიანი და ეკოლოგიურად არასაზიანოა.

სქემა 7. კატექინის სინთეზის მეთოდები.
მწვანე ქიმიის სასარგებლო თვისებებთან ერთად, შეიძლება ვახსენოთ მისი ნაკლიც: ის მოითხოვს დიდ დროს, მატერიალურ შესაძლებლობას და ინფორმაციის დიდი ბაზის არსებობას. მწვანე ქიმიის ნაკლია: ალტერნატიული უსაფრთხო ქიმიური ნივთიერებების და პროდუქტის მისაღებად საჭირო ტექნოლოგიის არცოდნა. აგრეთვე, ადამიანური რესურსებისა და უნარების ნაკლებობა. მაგრამ, ის ქიმიაში ითვლება მომავლის პერსპექტიულ დარგად. ვიმედოვნებთ, რომ მწვანე ქიმია დაეხმარება ჩვენს პლანეტას, რომ გახდეს უკეთესი საცხოვრებელი ადგილი, სადაც ადამიანებს არ შეაწუხებს სუფთა წყლის, ჯანსაღი ჰაერით სუნთქვის პრობლემა, ღვარცოფები და მეწყრები, რომლებიც, სამწუხაროდ, ისევ ადამიანის ქცევით არის გამოწვეული.
ბიბლიოგრაფია:
- Paul Anastas, Nicolas Eghbali. Green Chemistry: Principles and Practice. Chem. Soc. Rev., 2010, 39, 301-312
- Anita Ivanković, Ana Dronjić, Anita Martinović Bevanda, Stanislava Talić. Review of 12 Principles of Green Chemistry in Practice. International Journal of Sustainable and Green Energy. 2017, 6, 3, 39-48.
- Aeilke J. Kamphuis, Francesco Picchioni and Paolo P. Pescarmona. CO2-fixation into cyclic and polymeric carbonates: principles and applications. Green Chem., 2019,21, 406-448.
- What is Green Chemistry? https://www.acs.org/content/acs/en/greenchemistry/what-is-green-chemistry.html (ნანახია 01.08.2020)
- ანა გაბისონია, ეკა კაპანაძე. მწვანე ქიმია და მდგრადი განვითარება. "ქიმიის უწყებანი" 2018, 3, 2, 38-41
- Basics of Green Chemistry. https://www.epa.gov/greenchemistry/basics-green-chemistry#twelve (ნანახია 01.08.2020)
გამოქვეყნებულია: 16-10-2020